Skip to content

Benchmark Results - Overview

Here we collect the results of the living BioChatter benchmark. For an explanation, see the benchmarking documentation and the developer docs for further reading.

Scores per model

Table sorted by median score in descending order. Click the column names to reorder.

Model name Size Median Accuracy SD
claude-3-opus-20240229 Unknown 0.77 0.28
gpt-3.5-turbo-0125 175 0.77 0.19
gpt-3.5-turbo-0613 175 0.76 0.21
claude-3-5-sonnet-20240620 Unknown 0.76 0.28
gpt-4-0613 Unknown 0.73 0.17
gpt-4o-2024-08-06 Unknown 0.73 0.24
llama-3.1-instruct 70 0.73 0.29
llama-3.1-instruct 8 0.72 0.28
gpt-4-0125-preview Unknown 0.69 0.26
gpt-4o-mini-2024-07-18 Unknown 0.69 0.22
gpt-4-1106-preview Unknown 0.69 0.06
gpt-4o-2024-05-13 Unknown 0.68 0.31
gpt-4-turbo-2024-04-09 Unknown 0.68 0.27
llama-3-instruct 8 0.65 0.36
openhermes-2.5 7 0.6 0.3
gpt-4o-2024-11-20 Unknown 0.55 0.14
chatglm3 6 0.44 0.26
llama-2-chat 70 0.42 0.34
mistral-instruct-v0.2 7 0.4 0.33
code-llama-instruct 7 0.4 0.35
code-llama-instruct 34 0.38 0.35
code-llama-instruct 13 0.38 0.33
llama-2-chat 13 0.38 0.33
mixtral-instruct-v0.1 46,7 0.34 0.28
llama-2-chat 7 0.31 0.3

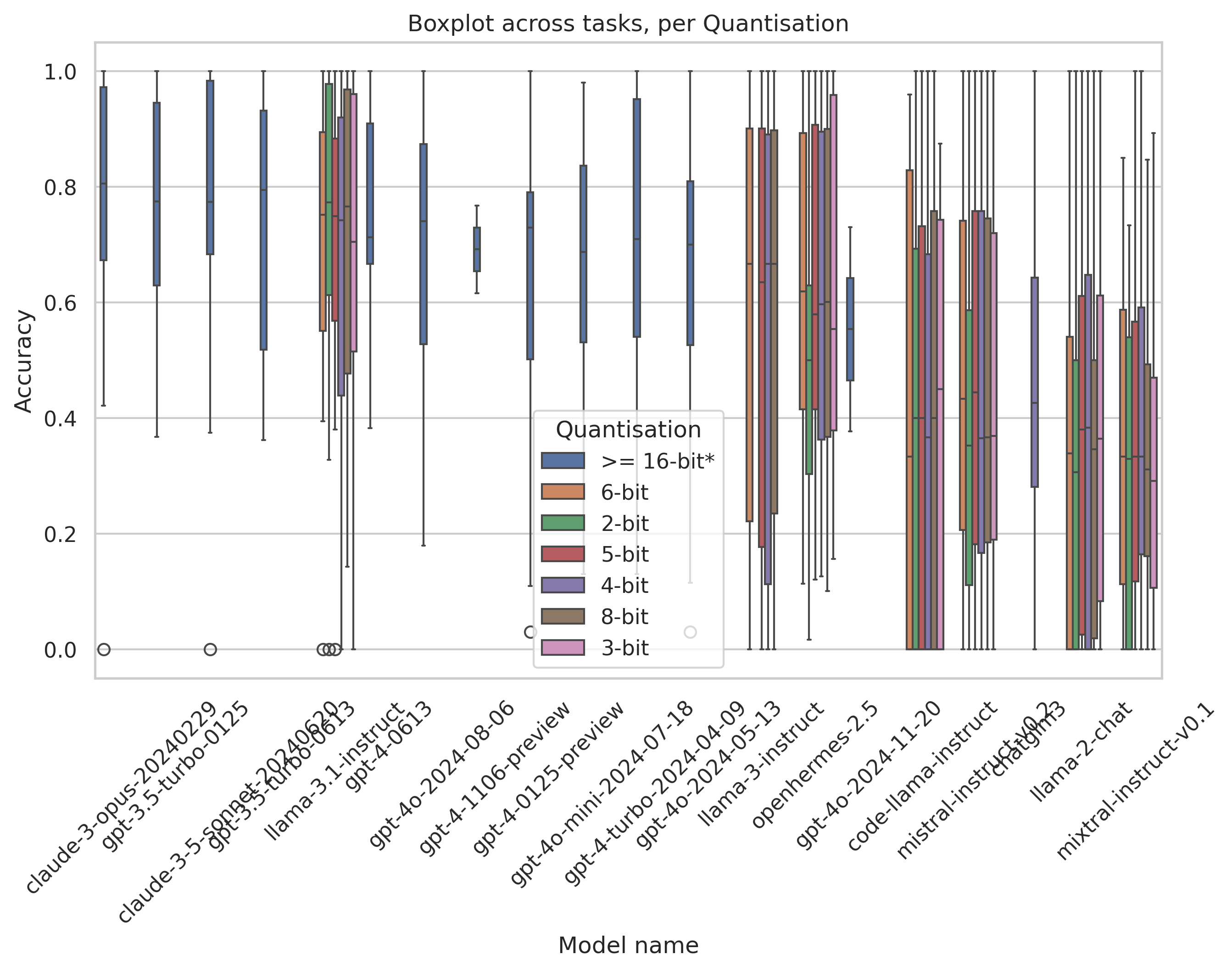
Scatter Quantisation Name Boxplot Model

Scores per quantisation

Table sorted by median score in descending order. Click the column names to reorder.

Model name Size Version Quantisation Median Accuracy SD
claude-3-opus-20240229 Unknown nan nan 0.77 0.28
gpt-3.5-turbo-0125 175 nan nan 0.77 0.19
claude-3-5-sonnet-20240620 Unknown nan nan 0.76 0.28
gpt-3.5-turbo-0613 175 nan nan 0.76 0.21
llama-3.1-instruct 8 ggufv2 Q6_K 0.74 0.28
llama-3.1-instruct 70 ggufv2 IQ2_M 0.74 0.29
llama-3.1-instruct 8 ggufv2 Q5_K_M 0.74 0.28
gpt-4-0613 Unknown nan nan 0.73 0.17
llama-3.1-instruct 70 ggufv2 IQ4_XS 0.73 0.29
gpt-4o-2024-08-06 Unknown nan nan 0.73 0.24
llama-3.1-instruct 8 ggufv2 Q8_0 0.72 0.3
llama-3.1-instruct 8 ggufv2 Q3_K_L 0.71 0.28
llama-3.1-instruct 8 ggufv2 Q4_K_M 0.7 0.26
llama-3.1-instruct 8 ggufv2 IQ4_XS 0.69 0.28
gpt-4-1106-preview Unknown nan nan 0.69 0.06
gpt-4-0125-preview Unknown nan nan 0.69 0.26
gpt-4o-mini-2024-07-18 Unknown nan nan 0.69 0.22
gpt-4-turbo-2024-04-09 Unknown nan nan 0.68 0.27
gpt-4o-2024-05-13 Unknown nan nan 0.68 0.31
llama-3.1-instruct 70 ggufv2 Q3_K_S 0.67 0.28
llama-3-instruct 8 ggufv2 Q8_0 0.65 0.35
llama-3-instruct 8 ggufv2 Q4_K_M 0.65 0.38
llama-3-instruct 8 ggufv2 Q6_K 0.65 0.36
openhermes-2.5 7 ggufv2 Q6_K 0.62 0.3
llama-3-instruct 8 ggufv2 Q5_K_M 0.62 0.36
openhermes-2.5 7 ggufv2 Q5_K_M 0.6 0.29
openhermes-2.5 7 ggufv2 Q8_0 0.6 0.3
openhermes-2.5 7 ggufv2 Q4_K_M 0.6 0.3
openhermes-2.5 7 ggufv2 Q3_K_M 0.56 0.3
gpt-4o-2024-11-20 Unknown nan nan 0.55 0.14
code-llama-instruct 34 ggufv2 Q2_K 0.5 0.33
openhermes-2.5 7 ggufv2 Q2_K 0.5 0.28
code-llama-instruct 7 ggufv2 Q3_K_M 0.49 0.31
code-llama-instruct 7 ggufv2 Q4_K_M 0.47 0.39
mistral-instruct-v0.2 7 ggufv2 Q5_K_M 0.46 0.34
mistral-instruct-v0.2 7 ggufv2 Q6_K 0.45 0.34
code-llama-instruct 34 ggufv2 Q3_K_M 0.45 0.31
chatglm3 6 ggmlv3 q4_0 0.44 0.26
llama-2-chat 70 ggufv2 Q4_K_M 0.44 0.35
llama-2-chat 70 ggufv2 Q5_K_M 0.44 0.35
code-llama-instruct 13 ggufv2 Q6_K 0.44 0.35
code-llama-instruct 13 ggufv2 Q8_0 0.44 0.33
code-llama-instruct 13 ggufv2 Q5_K_M 0.43 0.32
llama-2-chat 70 ggufv2 Q3_K_M 0.41 0.33
mistral-instruct-v0.2 7 ggufv2 Q3_K_M 0.41 0.34
mistral-instruct-v0.2 7 ggufv2 Q8_0 0.4 0.33
llama-2-chat 13 ggufv2 Q8_0 0.4 0.34
code-llama-instruct 7 ggufv2 Q8_0 0.4 0.37
code-llama-instruct 7 ggufv2 Q5_K_M 0.39 0.34
llama-2-chat 13 ggufv2 Q3_K_M 0.39 0.33
llama-2-chat 13 ggufv2 Q5_K_M 0.39 0.33
code-llama-instruct 7 ggufv2 Q2_K 0.38 0.29
code-llama-instruct 34 ggufv2 Q4_K_M 0.38 0.35
code-llama-instruct 7 ggufv2 Q6_K 0.38 0.39
code-llama-instruct 34 ggufv2 Q5_K_M 0.38 0.38
llama-2-chat 70 ggufv2 Q2_K 0.38 0.35
llama-2-chat 13 ggufv2 Q6_K 0.37 0.34
code-llama-instruct 34 ggufv2 Q8_0 0.37 0.35
mistral-instruct-v0.2 7 ggufv2 Q2_K 0.37 0.29
mistral-instruct-v0.2 7 ggufv2 Q4_K_M 0.37 0.35
code-llama-instruct 34 ggufv2 Q6_K 0.37 0.36
llama-2-chat 13 ggufv2 Q4_K_M 0.36 0.34
mixtral-instruct-v0.1 46,7 ggufv2 Q4_K_M 0.35 0.3
mixtral-instruct-v0.1 46,7 ggufv2 Q5_K_M 0.34 0.31
mixtral-instruct-v0.1 46,7 ggufv2 Q6_K 0.34 0.29
llama-2-chat 7 ggufv2 Q5_K_M 0.34 0.29
mixtral-instruct-v0.1 46,7 ggufv2 Q3_K_M 0.33 0.28
llama-2-chat 7 ggufv2 Q2_K 0.33 0.32
code-llama-instruct 13 ggufv2 Q4_K_M 0.33 0.31
mixtral-instruct-v0.1 46,7 ggufv2 Q8_0 0.33 0.25
mixtral-instruct-v0.1 46,7 ggufv2 Q2_K 0.32 0.27
llama-2-chat 7 ggufv2 Q8_0 0.31 0.28
llama-2-chat 7 ggufv2 Q6_K 0.31 0.29
llama-2-chat 7 ggufv2 Q4_K_M 0.3 0.29
llama-2-chat 7 ggufv2 Q3_K_M 0.3 0.33
llama-2-chat 13 ggufv2 Q2_K 0.28 0.29
code-llama-instruct 13 ggufv2 Q2_K 0.17 0.34
code-llama-instruct 13 ggufv2 Q3_K_M 0.15 0.34

Boxplot Quantisation

Scores of all tasks

Wide table; you may need to scroll horizontally to see all columns. Table sorted by median score in descending order. Click the column names to reorder.

Full model name python_api_calling relationship_selection query_generation property_selection api_calling medical_exam entity_selection naive_query_generation_using_schema explicit_relevance_of_single_fragments sourcedata_info_extraction python_api_calling_reduced multimodal_answer implicit_relevance_of_multiple_fragments property_exists end_to_end_query_generation Mean Accuracy Median Accuracy SD
claude-3-opus-20240229 nan 0 0.944444 0.421875 nan 0.805556 1 0.733333 0.833333 0.691235 nan nan 1 1 0.655556 0.73503 0.770293 0.276411
gpt-3.5-turbo-0125 0.615789 1 0.953757 0.36747 0.746479 0.671322 0.978261 0.514451 1 0.510032 0.759615 nan 0.9 0.789474 0.919075 0.766123 0.766123 0.191717
claude-3-5-sonnet-20240620 nan 0 0.966667 0.375 nan 0.7737 1 0.633333 1 0.756088 nan nan 1 0.866667 0.733333 0.736799 0.764894 0.283502
gpt-3.5-turbo-0613 nan 0.5 0.946667 0.3625 nan nan 0.888889 0.5 1 0.575381 nan nan 1 0.755556 0.833333 0.736233 0.755556 0.211926
llama-3.1-instruct:8:ggufv2:Q6_K nan 0 0.955556 0.46875 nan 0.751748 1 0.633333 1 0.394469 nan nan 0.833333 0.833333 0.733333 0.69126 0.742541 0.278015
llama-3.1-instruct:70:ggufv2:IQ2_M nan 0 0.955556 0.328125 nan 0.772881 1 0.633333 1 0.626498 nan nan 1 0.916667 0.6 0.712096 0.742489 0.293676
llama-3.1-instruct:8:ggufv2:Q5_K_M nan 0 0.933333 0.4375 nan 0.749117 1 0.7 1 0.380477 nan nan 0.833333 0.833333 0.733333 0.690948 0.741225 0.279278
gpt-4-0613 0.489474 0.695652 0.959538 0.38253 0.619048 0.730912 0.920635 0.682081 1 0.668903 0.769231 nan 1 0.666667 0.878613 0.747377 0.730912 0.174471
llama-3.1-instruct:70:ggufv2:IQ4_XS nan 0 0.955556 0.375 nan 0.822581 1 0.566667 1 0.699238 nan nan 1 0.75 0.6 0.706276 0.728138 0.285226
gpt-4o-2024-08-06 0.363158 1 0.874214 0.425439 nan 0.850211 1 0.528302 1 0.711185 0.740385 nan 0.666667 0.179894 0.830189 0.705357 0.725785 0.243719
llama-3.1-instruct:8:ggufv2:Q8_0 nan 0.142857 0.937107 0.565789 nan 0.765734 1 0.660377 1 0.38907 nan nan 1 0.161765 0.773585 0.67239 0.719062 0.295232
llama-3.1-instruct:8:ggufv2:Q3_K_L nan 0.142857 0.943396 0.486842 nan 0.768421 1 0.622642 1 0.360379 nan nan 0.833333 0.24 0.811321 0.655381 0.711901 0.280463
llama-3.1-instruct:8:ggufv2:Q4_K_M nan 0.285714 0.924528 0.513158 nan 0.741935 0.92 0.660377 1 0.382027 nan nan 0.833333 0.150538 0.735849 0.649769 0.698113 0.257418
llama-3.1-instruct:8:ggufv2:IQ4_XS nan 0 0.946903 0.387255 nan 0.756944 0.893939 0.646018 1 0.414621 nan nan 0.833333 0.439394 0.743363 0.641979 0.69469 0.276449
gpt-4-1106-preview 0.616216 nan nan nan nan nan nan nan nan nan 0.767677 nan nan nan nan 0.691946 0.691946 0.0618335
gpt-4-0125-preview 0.508772 0.782609 0.83815 0.0301205 0.793651 0.777159 0.824561 0.456647 1 0.689705 0.769231 nan 0.5 0.619048 0.109827 0.621391 0.689705 0.259268
gpt-4o-mini-2024-07-18 0.578947 0.130435 0.953757 0.388554 0.714286 0.840796 0.921053 0.537572 0.833333 0.684553 0.730769 0.98 0.5 0.52439 0.687861 0.667087 0.686207 0.216242
gpt-4-turbo-2024-04-09 0.259649 0.130435 0.83237 0.325301 nan 0.83701 1 0.508671 1 0.650369 0.762821 0.99 1 0.657143 0.635838 0.684972 0.684972 0.270175
gpt-4o-2024-05-13 nan 0.130435 0.809249 0.0301205 0.809524 0.763501 1 0.537572 1 0.653946 nan 0.96 0.7 0.526316 0.115607 0.618175 0.676973 0.312259
llama-3.1-instruct:70:ggufv2:Q3_K_S nan 0 0.966667 0.375 nan 0.8 1 0.633333 1 0.642336 nan nan 1 0.625 0.6 0.694758 0.668547 0.28438
llama-3-instruct:8:ggufv2:Q8_0 nan 0 0.92 0.28125 nan 0.640669 0.875 0.666667 1 0.188555 nan nan 1 0.725 0 0.572467 0.653668 0.35454
llama-3-instruct:8:ggufv2:Q4_K_M nan 0 0.92 0.109375 nan 0.624884 0.861111 0.666667 1 0.116871 nan nan 1 0.775 0 0.552173 0.645775 0.376754
llama-3-instruct:8:ggufv2:Q6_K nan 0 0.926667 0.28125 nan 0.623955 0.875 0.666667 1 0.162657 nan nan 1 0.775 0 0.573745 0.645311 0.359165
openhermes-2.5:7:ggufv2:Q6_K nan 0.896552 0.890411 0.126404 nan 0.57423 0.7675 0.557078 1 0.619167 nan nan 1 0.113379 0.273973 0.619881 0.619524 0.300867
llama-3-instruct:8:ggufv2:Q5_K_M nan 0 0.926667 0.1875 nan 0.635097 0.875 0.6 1 0.166434 nan nan 1 0.65 0 0.549154 0.617549 0.360565
openhermes-2.5:7:ggufv2:Q5_K_M nan 0.896552 0.917808 0.196629 nan 0.571429 0.758808 0.56621 1 0.579916 nan nan 1 0.120988 0.26484 0.624835 0.602375 0.293641
openhermes-2.5:7:ggufv2:Q8_0 nan 0.896552 0.90411 0.196629 nan 0.577031 0.628118 0.497717 1 0.600829 nan nan 1 0.100629 0.237443 0.603551 0.60219 0.296591
openhermes-2.5:7:ggufv2:Q4_K_M nan 0.896552 0.894977 0.126404 nan 0.586368 0.66967 0.479452 1 0.597281 nan nan 1 0.140921 0.246575 0.603473 0.600377 0.299216
openhermes-2.5:7:ggufv2:Q3_K_M nan 1 0.917808 0.171348 nan 0.563959 1 0.47032 1 0.554488 nan nan 0.5 0.156805 0.287671 0.602036 0.559223 0.301462
gpt-4o-2024-11-20 0.377193 nan nan nan nan nan nan nan nan nan 0.730769 nan nan nan nan 0.553981 0.553981 0.144347
code-llama-instruct:34:ggufv2:Q2_K nan 0.5 0.686667 0 nan nan 0 0.566667 0.5 nan nan nan 1 0.75 0 0.444815 0.5 0.328199
openhermes-2.5:7:ggufv2:Q2_K nan 0.655172 0.917808 0.0168539 nan 0.539106 0.604444 0.420091 1 0.444054 nan nan 0.5 0.18638 0.159817 0.494884 0.497442 0.27656
code-llama-instruct:7:ggufv2:Q3_K_M nan 0.25 0.873333 0 nan nan 0.5 0.426667 0.833333 nan nan nan 0.7 0.8 0 0.487037 0.493519 0.307716
code-llama-instruct:7:ggufv2:Q4_K_M nan 0 0.966667 0 nan nan 0.333333 0.653333 1 0.138732 nan nan 1 0.6 0 0.469207 0.469207 0.38731
mistral-instruct-v0.2:7:ggufv2:Q5_K_M nan 0 0.826667 0 nan 0.364146 0.444444 0.466667 1 0.385754 nan nan 1 0.688889 0 0.470597 0.455556 0.34385
mistral-instruct-v0.2:7:ggufv2:Q6_K nan 0 0.833333 0.046875 nan 0.366947 0.5 0.433333 1 0.367412 nan nan 1 0.65 0 0.472536 0.452935 0.337974
code-llama-instruct:34:ggufv2:Q3_K_M nan 0.25 0.786667 0 nan nan 0 0.6 0.5 nan nan nan 0.5 0.875 0 0.390185 0.445093 0.306514
chatglm3:6:ggmlv3:q4_0 nan 0.4 0.553333 0.2875 nan 0.426704 0.75 0.48 0.733333 0.188284 nan nan 1 0.275 0 0.463105 0.444905 0.260423
llama-2-chat:70:ggufv2:Q4_K_M nan 0.25 0.92 0 nan nan 0.444444 0.42 1 0.240936 nan nan 1 0.755556 0 0.503094 0.444444 0.354692
llama-2-chat:70:ggufv2:Q5_K_M nan 0.25 0.906667 0 nan nan 0.444444 0.36 1 0.210166 nan nan 0.9 0.777778 0 0.484905 0.444444 0.346535
code-llama-instruct:13:ggufv2:Q6_K nan 0 0.793333 0 nan nan 0 0.54 0.833333 nan nan nan 0.5 0.825 0 0.387963 0.443981 0.345581
code-llama-instruct:13:ggufv2:Q8_0 nan 0 0.766667 0 nan nan 0 0.566667 0.833333 nan nan nan 0.5 0.75 0 0.37963 0.439815 0.334971
code-llama-instruct:13:ggufv2:Q5_K_M nan 0 0.78 0 nan nan 0 0.566667 0.666667 nan nan nan 0.5 0.775 0 0.36537 0.432685 0.320506
llama-2-chat:70:ggufv2:Q3_K_M nan 0 0.906667 0.171875 nan nan 0.333333 0.413333 1 0.197898 nan nan 0.5 0.777778 0 0.430088 0.413333 0.327267
mistral-instruct-v0.2:7:ggufv2:Q3_K_M nan 0 0.773333 0.046875 nan 0.360411 0.333333 0.466667 1 0.368974 nan nan 1 0.666667 0 0.456024 0.412499 0.335885
mistral-instruct-v0.2:7:ggufv2:Q8_0 nan 0 0.846667 0.0375 nan 0.366947 0.333333 0.433333 1 0.351684 nan nan 0.9 0.644444 0 0.446719 0.40014 0.330107
llama-2-chat:13:ggufv2:Q8_0 nan 0 0.786667 0 nan 0.431373 0 0.48 1 0.0762457 nan nan 0.5 0.711111 0 0.362309 0.396841 0.335904
code-llama-instruct:7:ggufv2:Q8_0 nan 0 0.96 0 nan nan 0 0.4 1 nan nan nan 0.5 0.666667 0 0.391852 0.395926 0.37338
code-llama-instruct:7:ggufv2:Q5_K_M nan 0 0.96 0 nan nan 0.111111 0.4 0.833333 nan nan nan 0.5 0.688889 0 0.388148 0.394074 0.340156
llama-2-chat:13:ggufv2:Q3_K_M nan 0 0.68 0 nan 0.428571 0 0.48 1 0.112631 nan nan 0.5 0.733333 0 0.357685 0.393128 0.325419
llama-2-chat:13:ggufv2:Q5_K_M nan 0 0.746667 0 nan 0.431373 0 0.433333 1 0.0766167 nan nan 0.5 0.644444 0 0.348403 0.389888 0.32518
code-llama-instruct:7:ggufv2:Q2_K nan 0.25 0.92 0.0625 nan nan 0.25 0.533333 0.333333 nan nan nan 0.7 0.8 0 0.427685 0.380509 0.292686
code-llama-instruct:34:ggufv2:Q4_K_M nan 0 0.906667 0 nan nan 0 0.466667 0.5 nan nan nan 0.4 0.975 0 0.360926 0.380463 0.350483
code-llama-instruct:7:ggufv2:Q6_K nan 0 0.96 0 nan nan 0 0.333333 0.833333 nan nan nan 0.9 0.775 0 0.422407 0.37787 0.391629
code-llama-instruct:34:ggufv2:Q5_K_M nan 0 0.9 0 nan nan 0.125 0.466667 0.333333 nan nan nan 1 0.95 0 0.419444 0.376389 0.384096
llama-2-chat:70:ggufv2:Q2_K nan 0 0.9 0 nan nan 0 0.473333 1 0.215047 nan nan 0.5 0.666667 0 0.375505 0.375505 0.352226
llama-2-chat:13:ggufv2:Q6_K nan 0 0.813333 0 nan 0.428571 0 0.386667 1 0.0781337 nan nan 0.5 0.775 0 0.361973 0.37432 0.342819
code-llama-instruct:34:ggufv2:Q8_0 nan 0 0.86 0 nan nan 0.25 0.466667 0.333333 nan nan nan 0.9 0.925 0 0.415 0.374167 0.353285
mistral-instruct-v0.2:7:ggufv2:Q2_K nan 0 0.693333 0 nan 0.352941 0.222222 0.573333 1 0.331261 nan nan 0.5 0.6 0 0.388463 0.370702 0.294881
mistral-instruct-v0.2:7:ggufv2:Q4_K_M nan 0 0.826667 0 nan 0.365079 0.333333 0.366667 1 0.347025 nan nan 1 0.688889 0 0.447969 0.365873 0.348328
code-llama-instruct:34:ggufv2:Q6_K nan 0 0.853333 0 nan nan 0.125 0.473333 0.333333 nan nan nan 0.9 0.9 0 0.398333 0.365833 0.356636
llama-2-chat:13:ggufv2:Q4_K_M nan 0 0.76 0 nan 0.428571 0 0.366667 1 0.0888675 nan nan 0.5 0.777778 0 0.356535 0.361601 0.336686
mixtral-instruct-v0.1:46_7:ggufv2:Q4_K_M nan 0 0.76 0.1625 nan 0.368814 0.333333 0.426667 0.166667 0.193786 nan nan 1 0.755556 0 0.378848 0.351074 0.301567
mixtral-instruct-v0.1:46_7:ggufv2:Q5_K_M nan 0.25 0.84 0 nan 0.352941 0.422222 0.333333 0 0.235659 nan nan 1 0.711111 0 0.376842 0.343137 0.313874
mixtral-instruct-v0.1:46_7:ggufv2:Q6_K nan 0.25 0.826667 0 nan 0.34267 0.475 0.333333 0 0.225524 nan nan 0.7 0.85 0 0.363927 0.338002 0.289705
llama-2-chat:7:ggufv2:Q5_K_M nan 0 0.547945 0.0337079 nan 0.40056 0.57037 0.3379 1 0.0697591 nan nan 0.6 0.155556 0 0.3378 0.33785 0.293711
mixtral-instruct-v0.1:46_7:ggufv2:Q3_K_M nan 0.25 0.893333 0.065625 nan nan 0.333333 0.38 0 0.229622 nan nan 0.5 0.777778 0 0.342969 0.333333 0.278279
llama-2-chat:7:ggufv2:Q2_K nan 0 0.611872 0 nan 0.369748 0.410256 0.164384 0.833333 0.0361865 nan nan 1 0.324786 0 0.340961 0.332873 0.320018
code-llama-instruct:13:ggufv2:Q4_K_M nan 0 0.833333 0 nan nan 0 0.533333 0.333333 nan nan nan 0.5 0.775 0 0.330556 0.331944 0.30939
mixtral-instruct-v0.1:46_7:ggufv2:Q8_0 nan 0.25 0.846667 0 nan 0.358543 0.311111 0.386667 0.133333 0.189177 nan nan 0.6 0.666667 0 0.340197 0.325654 0.248216
mixtral-instruct-v0.1:46_7:ggufv2:Q2_K nan 0 0.726667 0 nan 0.329599 0 0.48 0.333333 0.157514 nan nan 0.6 0.733333 0 0.305495 0.317547 0.269925
llama-2-chat:7:ggufv2:Q8_0 nan 0.103448 0.589041 0 nan 0.40056 0.481481 0.292237 1 0.0847297 nan nan 0.5 0.163399 0 0.328627 0.310432 0.278624
llama-2-chat:7:ggufv2:Q6_K nan 0 0.561644 0 nan 0.406162 0.553846 0.292237 1 0.0614608 nan nan 0.5 0.177778 0 0.323012 0.307625 0.290181
llama-2-chat:7:ggufv2:Q4_K_M nan 0 0.611872 0 nan 0.40056 0.57037 0.273973 1 0.0852494 nan nan 0.5 0.251852 0 0.335807 0.30489 0.291028
llama-2-chat:7:ggufv2:Q3_K_M nan 0.103448 0.589041 0.0898876 nan 0.394958 0.435897 0.228311 1 0.0650717 nan nan 1 0.207407 0 0.374002 0.301156 0.326263
llama-2-chat:13:ggufv2:Q2_K nan 0 0.433333 0 nan 0.414566 0 0.366667 1 0.0649389 nan nan 0.5 0.288889 0 0.278945 0.283917 0.285171
code-llama-instruct:13:ggufv2:Q2_K nan 0 0.82 0 nan nan 0 0.566667 0.0333333 nan nan nan 0.4 0.875 0 0.299444 0.166389 0.336056
code-llama-instruct:13:ggufv2:Q3_K_M nan 0 0.833333 0 nan nan 0.45 0.533333 0 nan nan nan 0 0.85 0 0.296296 0.148148 0.336707